扫码添加微信:juxia_com
7月15日下午,OPPO通过线上沟通会的形式,发布了四款快充产品。其中125W超级快充技术不仅支持手机快速充电,还兼容了多种充电协议,可以为主流的平板和笔记本提供电量。 OPPO的这项125W超级…
在双十一这一特殊日期,天猫、苏宁等平台都在发力时,拼多多很是淡定。直到10月30日晚间,才将百亿补贴计划公布于众。 拼多多的百亿补贴政策刚刚实行,市场就传出阿里巴巴与春晚合作的…
临近年关,各行各业都想年底有一个漂亮的成绩,想要过个好年是主旋律。于是,网络上各大公司相关的利好信息也铺天盖地传播开来。 在这其中,卖咖啡的瑞幸最近因为股价翻倍、市值破百…
在经营过程当中,财务管理者应该密切关注企业的成本与效益,及时发现其中存在的问题,分析出现该问题的原因在哪里,并对症下药,找到解决问题的方法。 那么,我们应该怎么对成本与效...
1、 Autodesk Moldflow Autodesk Moldflow Adviser作为Autodesk数字化样机解决方案的一部分,为客户提供了一个简便易用的工具,使其能够在加工制造前对设计方案进行模拟评估以及优化处理。减少潜在的设...
你们上大学的时候每个月的生活费多少? 我1000,勉强够用吧。 我800,感觉有点不够用。 我1500。 哇,1500,那你蛮舒服的咧! 几年前的我们上大学的时候,一般情况的人家父母会给个1000块作...
冰箱是家里必备的一样电器,可是你知道吗?冰箱也会爆炸?千万不要惊讶,这件事情是真的!近日,上海嘉定一男孩从冰箱拿出一罐冰冻可乐,开启瞬间发生爆炸。 拉环直接划到孩子脸上,...
聊天室(chat room)是一个网页聊天软件,为了保证谈话的焦点,聊天室通常有一定的谈话主题。任何一个联入Internet、使用正确的聊天软件,并且渴望谈论的人都可以享受其乐趣。聊天室有语音聊...
快捷方式小箭头去除与恢复方法 电脑桌面的快捷方式图标默认都带有小箭头,不知道是不是自己心情不好,总之越看越不爽,今天我将出一期教程专门对付这个小箭头,去除或者保留? 由我做...
Endnote 是科研人员最常用的参考文献管理软件之一,用来创建个人参考文献库,能够与 Microsoft Word 完美无缝链接,方便插入所引用文献并按照格式进行编排。接下来我们介绍几个endnote的常用必...
养鸡人的辛苦外行人很难体会的到,养鸡不容易,谁都不想白白付出,最后得到辛辛苦苦大半年,一夜回到解放前的结果。 在养鸡行业,养鸡亏本赔钱的事情比比皆是,其实养鸡赚不赚钱,有没有利...
黑龙江省教育考试院发布2017高校毕业生就业质量报告。我们来看看就业热门的专业都有啥? 毕业生数量最多的二十个专业 ■ 毕业博士研究生 数量最多的二十个专业科类以工学、医学、管理学...
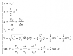
基础规律 一、复合场及其特点 这里所说的复合场是指电场、磁场、重力场并存,或其中某两种场并存的场。带电粒子在这些复合场中运动时,必须同时考虑电场力、洛仑兹力和重力的作用或其...