带电粒子在电场中的运动知识总结
基础规律
一、复合场及其特点
这里所说的复合场是指电场、磁场、重力场并存,或其中某两种场并存的场。带电粒子在这些复合场中运动时,必须同时考虑电场力、洛仑兹力和重力的作用或其中某两种力的作用,因此对粒子的运动形式的分析就显得极为重要。
二、带电粒子在复合场电运动的基本分析
1.当带电粒子在复合场中所受的合外力为0时,粒子将做匀速直线运动或静止。
2.当带电粒子所受的合外力与运动方向在同一条直线上时,粒子将做变速直线运动。
3.当带电粒子所受的合外力充当向心力时,粒子将做匀速圆周运动。
4.当带电粒子所受的合外力的大小、方向均是不断变化的时,粒子将做变加速运动,这类问题一般只能用能量关系处理。
三、电场力和洛仑兹力的比较
1.在电场中的电荷,不管其运动与否,均受到电场力的作用;而磁场仅仅对运动着的、且速度与磁场方向不平行的电荷有洛仑兹力的作用。
2.电场力的大小F=Eq,与电荷的运动的速度无关;而洛仑兹力的大小f=Bqvsinα,与电荷运动的速度大小和方向均有关。
3.电场力的方向与电场的方向或相同、或相反;而洛仑兹力的方向始终既和磁场垂直,又和速度方向垂直。
4.电场力既可以改变电荷运动的速度大小,也可以改变电荷运动的方向,而洛仑兹力只能改变电荷运动的速度方向,不能改变速度大小。
5.电场力可以对电荷做功,能改变电荷的动能;洛仑兹力不能对电荷做功,不能改变电荷的动能。
6.匀强电场中在电场力的作用下,运动电荷的偏转轨迹为抛物线;匀强磁场中在洛仑兹力的作用下,垂直于磁场方向运动的电荷的偏转轨迹为圆弧。
知识归纳
一、方法总结
1、 带电粒子在电场中运动
(1)匀加速运动:
注意1:求解时间时,用运动学公式 。
注意2:求解某一方向运动时,也可利用动能定理。
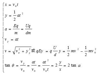
(2)类平抛运动:

2、带电粒子在磁场中运动
(1)匀速直线运动:利用平衡条件。
(2)匀速圆周运动:

其中R、θ主要通过几何关系确定。
(3)关于“几何关系”
注意1:确定圆心方法:利用三角函数、勾股定理等 。
注意2:确定圆心角方法:利用速度的偏转角等于圆周运动的圆心角等。
3、圆周运动的圆心确定方法
方法1:已知轨迹上两点的速度方向
方法2:已知轨迹上的两点和其中一点的速度方向
方法3:已知轨迹上一点的速度方向和半径R
方法4:已知轨迹上的两点和半径R
4、带电粒子在有界磁场中运动的极值问题
(1)刚好穿出磁场边界的条件是带电粒子在磁场中运动的轨迹与边界相切。
(2)当速度v一定时,弧长(或弦长)越大,圆周角越大,则时间越长。
(3)磁场边界的最小面积。
5、关键字解题法
(1)恰好做匀速直线运动:F合=0
(2)恰好做匀速圆周运动:除洛伦兹力外,其它力合力为零。
6、对称规律解题法
(1)从同一边界射入的粒子,又从同一边界射出时,速度与边界的夹角相等。
(2)在圆形磁场区域内,沿径向射入的粒子,一定沿径向射出。
(3)在圆形磁场区域内,不沿径向射入的粒子,也满足对称性。
不计重力的带电粒子在电场中的运动
1.带电粒子在电场中加速
当电荷量为q、质量为m、初速度为v0的带电粒子经电压U加速后,速度变为vt,由动能定理得:
这个关系式对任意静电场都是适用的。
2.带电粒子在匀强电场中的偏转
不计重力的带电粒子在磁场中的运动
1.匀速直线运动:若带电粒子的速度方向与匀强磁场的方向平行,则粒子做匀速直线运动。
2.匀速圆周运动:若带电粒子的速度方向与匀强磁场的方向垂直,则粒子做匀速圆周运动。
带电粒子在复合场中的运动
1.高中阶段所涉及的复合场有四种组合形式:
①电场与磁场的复合场。
②磁场与重力场的复合场。
③电场与重力场的复合场。
④电场、磁场与重力场的复合场。
2.带电粒子在复合场中的运动性质取决于带电粒子所受的合外力及初速度
因此应把带电粒子的运动情况和受力情况结合起来进行分析。当带电粒子在复合场中所受的合外力为零时,带电粒子做匀速直线运动(如速度选择器);当带电粒子所受的重力与电场力等值、反向,由洛伦兹力提供向心力时,带电粒子在垂直磁场的平面内做匀速圆周运动;当带电粒子所受的合外力是变力,且与初速度的方向不在一条直线上时,粒子做非匀变速曲线运动,运动轨迹也随之不规范地变化。因此,要确定粒子的运动情况,必须明确有几种场,粒子受几种力,重力是否可以忽略。
3.带电粒子所受三种场力的特征
(1)洛伦兹力的大小跟速度方向与磁场方向的夹角有关。当带电粒子的速度方向与磁场方向平行时,f洛=0;当带电粒子的速度方向与磁场方向垂直时,f洛=qvB。当洛伦兹力的方向垂直于速度v和磁感应强度B所决定的平面时,无论带电粒子做什么运动,洛伦兹力都不做功。
(2)电场力的大小为qE,方向与电场强度E的方向及带电粒子所带电荷的性质有关。电场力做功与路径无关,其数值除与带电粒子的电荷量有关外,还与其始末位置的电势差有关。
(3)重力的大小为mg,方向竖直向下。重力做功与路径无关,其数值除与带电粒子的质量有关外,还与其始末位置的高度差有关。
4.带电粒子在复合场中的运动的分析方法
(1)当带电粒子在复合场中做匀速运动时,应根据平衡条件列方程求解。
(2)当带电粒子在复合场中做匀速圆周运动时,往往应用牛顿第二定律和平衡条件列方程联立求解。
(3)当带电粒子在复合场中做非匀速曲线运动时,应选用动能定理或动量守恒定律列方程求解。
经典例题
【例1】两块大小、形状完全相同的金属平板平行放置,构成一平行板电容器,与它相连接的电路如图所示,接通开关K,电源即给电容器充电,则( )

A.保持K接通,减小两板间的距离,则板间场强减小
B.保持K接通,在两板间插入一块介质,则极板上的带电量增大
C.断开K,减小两板间的距离,则两板间的电势差减小
D.断开K,在两板间插入一块介质,则两板间的电势差减小
电容器与电源相连,两极板间的电势差不变,通电后断开,则两极板上的电量不变;
由平行板电容器电容C=,根据某些量的变化可知电容的变化,则由Q=UC可知电压或电量的变化,由E=可求得电场强度的变化.
【解析】
A、保持K接通,则两板间的电势差不变,因d减小,由E=可知,两极板间的电场的电场场强增大,故A错误;
B、保持K接通,两板间的电势差不变,在两极板间插入介质后,电容增大,由Q=UC可知,极板上的电量增大,故B正确;
C、断开K,两板上所带电量不变,减小距离d,电容增大,由C=可得U=,则可知U减小,故C正确;
D、断开K,两板上所带电量不变,插入介质后电容变大,由U=可知极板上的电势差减小,故D正确;
【例2】一质量为m的带正电小球在同时存在匀强电场和匀强磁场的空间中运动,试根据要求通过文字和图形描述小球进入复合场的速度方向和匀强电场、匀强磁场分布情况,例如:要求小球可以在复合场做匀速直线运动,文字描述:匀强磁场B水平向右,匀强电场E竖直向上,带电小球水平向右进入复合场,复合场分布图如图所示.

(1)要求带电小球可以在复合场做匀速圆周运动
(2)要求带电小球可以在复合场做匀变速直线运动
(3)要求带电小球可以在复合场做类平抛运动(或平抛运动)
分析
(1)对小球受力分析,若带电小球可以在复合场做匀速圆周运动,则电场力与重力平衡;
(2)带电小球可以在复合场做匀变速直线运动,则小球不受洛伦兹力;
(3)带电小球可以在复合场做类平抛运动则初始时刻洛伦兹力和重力平衡.
【解析】
(1)电场竖直向下,磁场垂直纸面,如图:

(2)磁场方向平行于电场力和重力的合力方向:

(3)平抛运动:B竖直向上,E垂直纸面向里,
类平抛运动:初始时刻洛伦兹力和重力平衡且磁场方向平行于电场方向.
如下图:


2020-02-23 13:53:30