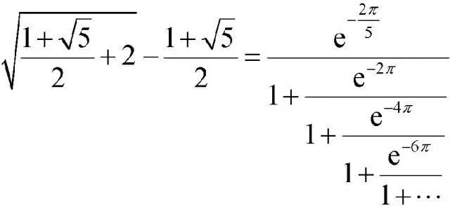
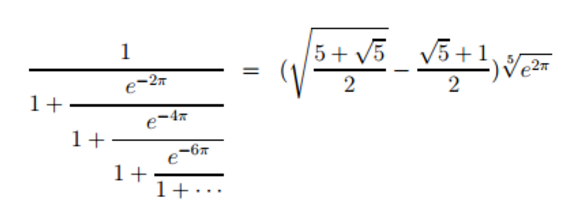
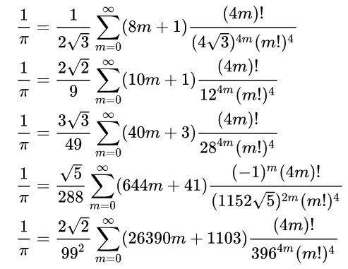
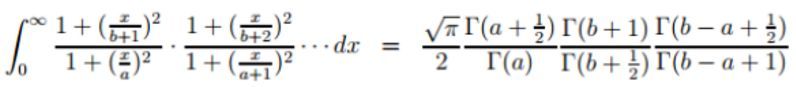
站长新闻 您的位置:老客外链 > 站长新闻 > 科技 > 一些拉马努金发现的公式,你觉得美么? 文章来源:未知 作者:老客SEO 人气:12 2020-02-25 17:27:48 来源:超级数学建模 上一篇:三招破解安卓手机锁屏密码,小偷勿进 下一篇:电机型号参数大全,这个是基础! 相关文章 OPPO推出125W充电技术 兼容主流协议,支持手机平板笔记本 文章来源:老铁商城2020-08-15 24万羊毛党入驻京东,谁是“背锅侠”? 文章来源:老铁商城2020-03-03 瑞幸“新故事”,就是不盈利 文章来源:老铁商城2020-03-03 聚美优品再提退市,垂直电商路在何方 文章来源:老铁商城2020-03-03 共同抗击新型肺炎 快手向武汉市捐赠1亿元 文章来源:老铁商城2020-03-03 换图风波高管减持,四维图新路在何方 文章来源:老铁商城2020-03-03 上班“防病毒”十大攻略 文章来源:老铁商城2020-03-03