南京大学团队 2040 张图片训练出 ViT,准确率 96.7%
ViT 在计算机视觉领域取得了巨大的成功,甚至大有取代 CNN 之势。但是相比 CNN,训练 ViT 需要更多的数据,通常要在大型数据集 JFT-300M 或至少在 ImageNet 上进行预训练,很少有人研究少量数据训练 ViT。
最近,南京大学吴建鑫团队提出了一种新方法,只需 2040 张图片即可训练 ViT。他们在 2040 张花(flowers)的图像上从头开始训练,达到了 96.7% 的准确率,表明用小数据训练 ViT 也是可行的。另外在 ViT 主干下的 7 个小型数据集上从头开始训练时,也获得了 SOTA 的结果。

而且更重要的是,他们证明了,即使在小型数据集上进行预训练,ViT 也具有良好的迁移能力,甚至可以促进对大规模数据集的训练。
论文内容
在这篇论文中,作者提出了用于自我监督 ViT 训练的 IDMM(Instance Discrimination with Multi-crop and CutMix)。我们先来看一下 ViT 图像分类网络的基本架构:将图像样本 x?(i = 1, 2, …, N; N 为图片数量)送入 ViT 中,得到一组输出表征 z?。w?为第 j 个分类的权重。

然后,使用全连接层 W 进行分类,当类的数量等于训练图像的总数 N 时,即参数化实例判别。
第 j 类的输出为:

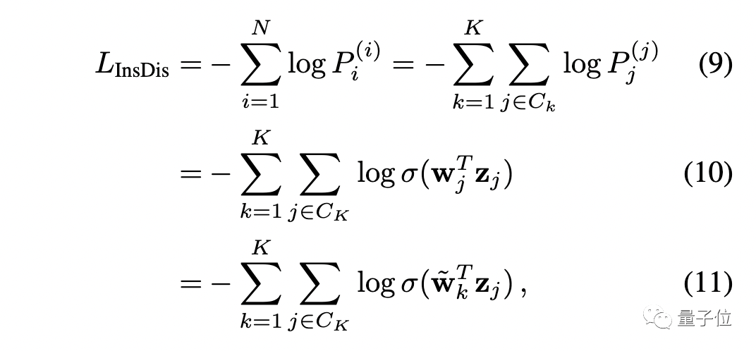
我们把 O 送入 Softmax 层,就得到一个概率分布 P???。对于实例判别,损失函数为:

对于深度聚类,其损失函数为:

可以看出,只要适当设置权重(让 w? = ~w? ),就可以让实例判别等价于深度聚类。
从下图中可以看出,与其他方法相比,实例判别可以学习到更多的分布式表征,并能更好地捕捉到类内的相似性。

作者之所以选择参数化的实例判别,还有一个重要的原因:简单性和稳定性。
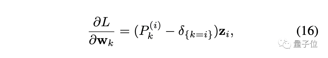
不稳定性是影响自监督 ViT 训练的一个主要问题。实例判别(交叉熵)的形式更稳定,更容易优化。接下来开始梯度分析,损失函数对权重求导:

其中 δ 是指示函数,当 k=i 时值为 1,否则为 0。
需要注意的是,对于实例判别,类的数量 N 通常很大,而且存在对实例样本访问极稀少的问题。对于稀少的实例 k≠i,可以预计 P????≈0,因此∂L/∂w?≈0,这意味着 w?的更新频率极低。在小数据集问题上,作者使用 CutMix 和标签平滑,来缓解此问题。
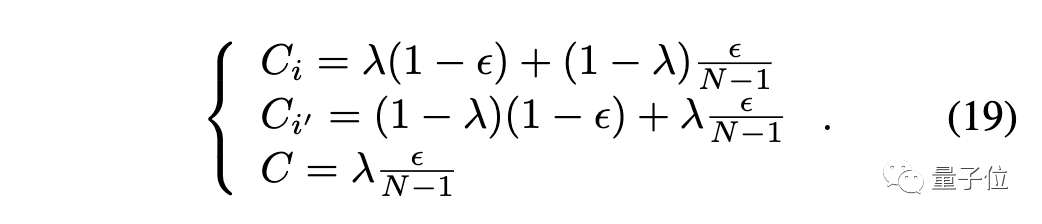
CutMix:

标签平滑:

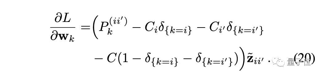
最后梯度变为:

这样通过直接修改单次标签,来更频繁地更新权重矩阵,也是 ViT 监督训练中常用的方法。
总之,作者使用了以下策略来加强小数据集上的实例判别。
小分辨率:预训练中的小分辨率对小数据集很有用。
多次裁剪:实例判别概括了对比损失,保证了在使用多种实例时获取特征的对齐和统一性。
CutMix 和标签平滑:有助于缓解使用实例判别时的过拟合和不经常访问的问题。
至于为什么需要直接在目标数据集上从头开始训练,作者给出了 3 点原因:
1、数据
目前的 ViT 模型通常在一个大规模的数据集上进行预训练,然后在各种下游任务中进行微调。由于缺乏典型的卷积归纳偏向,这些模型比普通的 CNN 更耗费数据。
因此从头开始训练 ViT,能够用图像总量有限的任务是至关重要的。
2、算力
大规模的数据集、大量的耗时和复杂的骨干网络的,让 ViT 训练的算力成本非常昂贵。这种现象使 ViT 成为少数机构研究人员的特权。
3、灵活性
预训练后再进行下游微调的模式有时会很麻烦。
例如,我们可能需要为同一任务训练 10 个不同的模型,并将它们部署在不同的硬件平台上,但在一个大规模的数据集上预训练 10 个模型是不现实的。

在上图中,很明显与从头开始训练相比,ImageNet 预训练的模型需要更多的参数和计算成本。
在小数据集上进行预训练时的迁移能力。每个单元格和列中精度最高的元素分别用下划线和粗体表示。最后,在下表中,作者评估了在不同数据集上预训练模型的迁移精度。对角线上的单元(灰色)是在同一数据集上进行预训练和微调。对角线外的单元格评估了这些小数据集的迁移性能。

从这张表中,我们可以看到以下几点:
即使在小数据集上进行预训练,ViT 也有良好的迁移能力。
与 SimCLR 和 SupCon 相比,该方法在所有这些数据集上也有更高的迁移精度。
即使预训练的数据集和目标数据集不在同一领域,也能获得令人惊讶的好结果。例如,在 Indoor67 上预训练的模型在转移到 Aircraft 上时获得了最高的准确性。
作者简介
本文第一作者是南京大学在读博士曹云浩,通讯作者是南京大学人工智能学院吴建鑫教授。


2022-02-02 21:18:33